Tổng quan về thử nghiệm gia tốc
1. Mở đầu
Mọi sản phẩm bất kỳ khi khai thác, sử dụng trong điều kiện thực tế đều chịu tác động tổng hợp của nhiều yếu tố, gây suy giảm tính năng kỹ thuật và tuổi thọ của sản phẩm đó. Có hai nhóm yếu tố tác động đến một sản phẩm: yếu tố của môi trường bên ngoài mà sản phẩm khai thác (các yếu tố khí hậu: nhiệt độ, độ ẩm, bức xạ mặt trời, hơi muối, các loại khí ô nhiễm có tính ăn mòn…) và các yếu tố nội tại của sản phẩm đó khi khai thác (chế độ hoạt động: thời gian, công suất, mức rung sóc…). Để đánh giá mức độ ảnh hưởng của các yếu tố đến đặc tính kỹ thuật và tuổi thọ của sản phẩm có thể sử dụng hai phương pháp thử nghiệm: thử nghiệm tự nhiên và thử nghiệm gia tốc.
Thử nghiệm tự nhiên một sản phẩm là cho sản phẩm đó hoạt động hoặc đặt sản phẩm vào trong điều kiện mà thực tế sản phẩm đó được khai thác. Khi đó, sản phẩm sẽ chịu tác động tổng hợp của tất cả các yếu tố với thời gian và cường độ mà thực tế khi khai thác nó phải chịu. Phương pháp thử nghiệm tự nhiên cho kết quả có độ tin cậy cao, tuy nhiên, đòi hỏi thời gian rất dài, có thể một vài năm, thậm chí hàng chục năm hoặc hơn.
Nền kinh tế thị trường phát triển sôi động có tính cạnh tranh toàn cầu ngày nay đặt ra cho các nhà sản xuất yêu cầu trong thời gian ngắn nhất cần có một kết quả đánh giá đáng tin cậy về tuổi thọ cũng như đặc tính của sản phẩm để có thể cung cấp cho khách hàng hoặc xây dựng chính sách bảo hành, bảo trì sản phẩm. Thử nghiệm tự nhiên gần như không thể đáp ứng được yêu cầu này. Do vậy, cần sử dụng phương pháp thử nghiệm gia tốc, trong đó sử dụng các loại máy móc, thiết bị thử nghiệm chuyên dụng để tạo ra các yếu tố tác động đến sản phẩm tương tự như các yếu tố trong điều kiện khai thác thực tế nhưng với cường độ mạnh hơn hoặc thời gian lâu hơn, nhằm đẩy nhanh các quá trình phá hủy sản phẩm nhưng không làm thay đổi cơ chế phá hủy.
2. Định nghĩa, mục đích, đối tượng
Theo tiêu chuẩn GOST 16504-81 “Thử nghiệm và kiểm soát chất lượng sản phẩm. Những định nghĩa và thuật ngữ cơ bản” thì thử nghiệm gia tốc được định nghĩa như sau:
“Thử nghiệm gia tốc là những thử nghiệm mà phương pháp và điều kiện tiến hành thử nghiệm đó đảm bảo cho chúng ta thu được thông tin cần thiết về các đặc tính của đối tượng thử nghiệm trong khoảng thời gian ngắn hơn so với khi thử nghiệm thông thường”.
Thử nghiệm gia tốc được áp dụng cho các vật liệu hay các sản phẩm với việc sử dụng cùng một cơ chế hỏng hóc như trong điều kiện làm việc nhưng trong khoảng thời gian ngắn hơn nhiều. Cơ chế hỏng hóc được tăng tốc bằng cách thay đổi một hoặc nhiều thông số. Chẳng hạn như đối với thử nghiệm gia tốc ăn mòn kim loại có thể gia tốc bằng cách tăng nhiệt độ, độ ẩm hoặc cả hai yếu tố đồng thời.

Mục đích cuối cùng của thử nghiệm gia tốc là tìm ra mối liên hệ giữa tuổi thọ sản phẩm với các yếu tố tác động bên ngoài và xác định bằng thực nghiệm các hệ số của mối liên hệ đó nhằm đưa ra một dự báo đáng tin cậy về tuổi thọ của sản phẩm.
Đối tượng của thử nghiệm gia tốc rất rộng lớn, nó có thể là các vật liệu hay các sản phẩm từ các vật liệu đó. Tùy theo tính chất và cơ chế phá hủy của mỗi đối tượng đòi hỏi một phương pháp thử nghiệm riêng, không thể có một phương pháp thử nghiệm gia tốc chung cho mọi loại đối tượng. Khi xây dựng phương pháp thử nghiệm gia tốc cho mỗi loại đối tượng cần phải xác định rõ yếu tố tác động nào là yếu tố chủ yếu, yếu tố nào là thứ yếu.
3. Các phương pháp thử nghiệm gia tốc
Với điều kiện khí hậu nhiệt đới ẩm nắng nóng, mưa nhiều của Việt Nam, các tác nhân chính gây ăn mòn, hỏng hóc hay lão hóa sản phẩm là: nhiệt độ, độ ẩm, bức xạ mặt trời, khí ô nhiễm và hơi muối trong khí quyển… Việc tạo ra một thiết bị có thể gia tốc đồng thời tất cả các tác nhân trên là không thể. Trong thực tế thường sử dụng các thiết bị để gia tốc riêng từng tác nhân hoặc một nhóm các tác nhân đồng thời. Một số phương pháp thử nghiệm gia tốc môi trường chủ yếu là:
- Phương pháp thử nghiệm gia tốc mù muối:
Phương pháp thử nghiệm gia tốc mù muối được sử dụng để xác độ bền chống ăn mòn của kim loại hay các lớp phủ bảo vệ. Thử nghiệm gia tốc mù muối phù hợp với các sản phẩm được thiết kế để khai thác, sử dụng ở môi trường biển hay ven biển, nơi có nồng độ [Cl–] trong khí quyển cao. Có 3 lựa chọn đối với thử nghiệm gia tốc mù muối là: mù muối trung tính, mù muối kết hợp axit acetic và mù muối kết hợp axit acetic với đồng.
Thiết bị để thử nghiệm gia tốc mù muối là một tủ kín, trong đó có vòi phun dung dịch muối vào khoang đặt mẫu thử. Sau một thời gian nhất định sẽ kiểm tra, đánh giá sự xuất hiện của sản phẩm ăn mòn trên bề mặt mẫu. Thời gian thử nghiệm phụ thuộc vào độ bền ăn mòn của từng nhóm vật liệu, vật liệu càng bền thì thời gian thử càng dài.
Tiêu chuẩn thử nghiệm gia tốc mù muối tiêu biểu là: ASTM B117-19 và ISO 9227:2017 và MIL-STD-810G (method 509.5).
- Phương pháp thử nghiệm gia tốc nhiệt ẩm:
Thử nghiệm gia tốc nhiệt ẩm là hình thức thử nghiệm gia tốc phổ biến cho gần như toàn bộ các đối tượng thử nghiệm, nhất là các đối tượng khai thác trong điều kiện nhiệt đới. Hai tác nhân trong thử nghiệm gia tốc nhiệt ẩm tác động đến mẫu thử là nhiệt độ và độ ẩm.
Thử nghiệm nhiệt ẩm được thực hiện trong tủ khí hậu, nơi tạo ra và kiểm soát được nhiệt độ và độ ẩm trong buồng thử. Chế độ thử nghiệm nhiệt ẩm là khác nhau và được quy định trong từng tiêu chuẩn thử nghiệm cụ thể.
Có nhiều tiêu chuẩn thử nghiệm nhiệt ẩm trên thế giới, phổ biến có thể nói đến:
MIL-STD-810G (method 507.5), ASTM D2247 – 15, GOST 9.401 (method 14).

- Phương pháp thử nghiệm gia tốc bức xạ mặt trời:
Phương pháp thử nghiệm gia tốc bức xạ mặt trời thường áp dụng cho các loại vật liệu phi kim loại như: cao su, polymer, hay các màng sơn phủ… Phổ bức xạ mặt trời bao gồm vùng tử ngoại (hay còn gọi là vùng UV, bước sóng từ 295 µm đến 400 µm), vùng ánh sáng nhìn thấy (bước sóng từ 400 µm đến 800 µm) và vùng hồng ngoại (bước sóng từ 800 µm đến 300.000 µm). Mỗi vùng tác động gây lão hóa vật liệu phi kim loại theo các cơ chế khác nhau, trong đó vùng UV là vùng tác động tiêu cực nhất đối với vật liệu phi kim loại. Vùng UV có bước sóng ngắn, năng lượng rất cao có thể phá vỡ liên kết cao phân tử trong vật liệu phi kim loại gây hiện tượng lão hóa: rạn nứt, đứt gãy… Vùng hồng ngoại chủ yếu tác động theo cơ chế nhiệt gây hiệu ứng thứ cấp, thúc đẩy nhanh hơn quá trình lão hóa vật liệu phi kim loại. Nhiều nghiên cứu đã chỉ ra, trong số các nhóm vật liệu phi kim loại, mỗi nhóm lại “nhạy cảm” với từng khoảng bước sóng khác nhau trong vùng UV. Do vậy, thử nghiệm gia tốc bức xạ mặt trời là loại hình thử nghiệm đa dạng nhất, gần như đối với mỗi chủng loại vật liệu lại có một tiêu chuẩn thử nghiệm bức xạ mặt trời riêng. Có những tiêu chuẩn chuyên biệt cho thử nghiệm bức xạ UVA, UVB, UV (tổng của UVA và UVB), hay thử nghiệm toàn phổ.
Các thiết bị thử nghiệm gia tốc bức xạ mặt trời cũng đa dạng, với nhiều nguồn sáng khác nhau để tạo ra phổ bức xạ: nguồn sáng đèn xenon, đèn carbon, đèn fluorescent…
Thông thường, các tủ thử nghiệm bức xạ mặt trời hiện nay sẽ tích hợp thêm tính năng phun nước (mô phỏng mưa) và tạo ẩm. Bức xạ mặt trời nhân tạo được bổ sung các yếu tố: nhiệt độ, độ ẩm và mưa giúp mô phỏng gần như hoàn hảo các tác nhân tự nhiên tác động gây lão hóa vật liệu phi kim loại.
Một số tiêu chuẩn thử nghiệm bức xạ mặt trời tiêu biểu như:
- ASTM G151 Standard Practice for Exposing Nonmetallic Materials in Accelerated Test Devices that Use Laboratory Light Sources
- ASTM G152 Standard Practice for Operating Open Flame Carbon Arc Light Apparatus for Exposure of Nonmetallic Materials
- ASTM G153 Standard Practice for Operating Enclosed Carbon Arc Light Apparatus for Exposure of Nonmetallic Materials
- ASTM G154 Standard Practice for Operating Fluorescent Light Apparatus for UV Exposure of Nonmetallic Materials
- ASTM G155 Standard Practice for Operating Xenon Arc Light Apparatus for Exposure of Non-Metallic Materials
- ISO 16474-1 Paints and varnishes – Methods of exposure to laboratory light sources – Part 1: General guidance
- ISO 16474-2 Paints and varnishes – Methods of exposure to laboratory light sources – Part 2: Xenon-arc lamps
- ISO 16474-3 Paints and varnishes – Methods of exposure to laboratory light sources – Part 3: Fluorescent UV lamps
- ISO 4892-1 Plastics – Methods of exposure to laboratory light sources – Part 1: General guidance
- ISO 4892-2 Plastics – Methods of exposure to laboratory light sources – Part 2: Xenon-arc sources
- ISO 4892-3 Plastics – Methods of exposure to laboratory light sources – Part 3: Fluorescent UV-lamps
- ISO 4892-4 Plastics — Methods of exposure to laboratory light sources — Part 4: Open-flame carbon-arc lamps
– Phương pháp thử nghiệm gia tốc sốc nhiệt:
Thử nghiệm sốc nhiệt được thực hiện nhằm xác định độ bền của mẫu thử đối với sự thay đổi đột ngột về nhiệt độ. Mẫu thử có thể là sản phẩm tổng thành hoặc mẫu tiêu chuẩn. Thử nghiệm sốc nhiệt được thực hiện nhiều chu kỳ. Mỗi chu kỳ bao gồm 2 giai đoạn: nóng và lạnh. Đầu tiên, mẫu thử được đưa vào buồng thử với nhiệt độ cực thấp (hoặc cực cao) trong một khoảng thời gian đủ để nhiệt độ bên trong các phần của mẫu thử đạt đến độ đồng nhất, sau đó đưa vào buồng thử với nhiệt độ cực cao (hoặc cực thấp). Thời gian chuyển mẫu từ điều kiện nhiệt độ này sang nhiệt độ kia là cực ngắn, tính bằng giây.
Thử nghiệm sốc nhiệt thường được áp dụng cho các mẫu là sản phẩm tổng thành với nhiều bộ phận làm từ các vật liệu khác nhau. Do đặc tính giãn nở nhiệt của chúng khác nhau nên khi gặp sự thay đổi đột ngột về nhiệt độ sẽ gây ra các rạn nứt, đứt gãy trong liên kết giữa các vật liệu.
Một số tiêu chuẩn thử nghiệm sốc nhiệt điển hình như: MIL-STD-202, Method 107 (thermal shock); MIL–STD–750–1, METHOD 1051.7; MIL-STD-883E, METHOD 1011.9; MIL-STD-810G, method 503.5.
Ngoài các phương pháp thử nghiệm gia tốc phổ biến nêu trên, còn một số phương pháp thử nghiệm gia tốc khác như:
- Phương pháp thử nghiệm gia tốc rung xóc
- Phương pháp thử nghiệm gia tốc đánh giá khả năng kháng bụi, kháng nước.
- Phương pháp thử nghiệm gia tốc lão hóa ozon.
- Phương pháp thử nghiệm gia tốc lão hóa khí thải công nghiệp.
4. Các yêu cầu khi xây dựng phương pháp thử nghiệm gia tốc
Để lựa chọn đúng phương pháp thử nghiệm gia tốc đối với từng đối tượng cụ thể cần tính đến các yêu cầu sau đây:
- Phải làm sao cho việc tăng tốc quá trình lão hóa, phá hủy vật liệu nhưng không làm thay đổi cơ chế lão hóa, phá hủy vật liệu đó.
- Khi lựa chọn phương pháp thử nghiệm cần tính đến thành phần và tính chất của môi trường mà sản phẩm hoạt động trong môi trường đó. Chẳng hạn khi thử nghiệm các sản phẩm dùng trong môi trường biển, trong buồng thử nghiệm sẽ đưa vào các hạt NaCl ở dạng xon khí hay sương mù. Để mô phỏng khí quyển công nghiệp đưa vào SO2.
- Khi lựa chọn phương pháp thử nghiệm cần phải tính đến các điều kiện vận hành của sản phẩm. Chẳng hạn như cột chống cho các công trình giàn khoan dầu khí ngoài biển, thì phần bị tẩm nước do sóng đánh sẽ bị ăn mòn nhiều hơn là phần chìm trong nước. Do đó khi thử nghiệm phải thực hiện chế độ thử nghiệm nhúng theo chu kỳ vào dung dịch muối NaCl.
- Các phương pháp thử nghiệm phải được xây dựng và lựa chọn đối với mỗi đối tượng riêng.
- Đối với mỗi phương pháp thử nghiệm gia tốc phải tính đến giới hạn gia tốc đối với tác nhân được gia tốc. Ví dụ khi sử dụng yếu tố nhiệt độ như một phương tiện tăng tốc quá trình ăn mòn khi thử nghiệm cần tính đến đặc tính của quá trình ăn mòn. Chúng ta biết rằng tốc độ phản ứng điện cực tăng lên khi tăng nhiệt độ, nhưng đồng thời nhiệt độ lại ảnh hưởng đến nhiều yếu tố khác – độ hòa tan oxy, tính chất màng bảo vệ kim loại v.v… Cần phải lưu ý rằng khi tăng nhiệt độ, tốc độ khử oxy cực sẽ tăng đến một giới hạn nhất định (khoảng 60 độ). Khi tăng tiếp nhiệt độ thì độ hòa tan oxy sẽ giảm, điều này dẫn tới sự giảm tốc độ ăn mòn.
- Đối với các quá trình diễn ra với sự khử hydro cực (chất điện ly có axit) thì giới hạn như trên là không có, nhiệt độ có thể tăng đến nhiệt độ sôi.
- Thử nghiệm trong phòng thí nghiệm chỉ có thể thu được các dữ liệu so sánh. Vì vậy, khi thử nghiệm các sản phẩm mới, sẽ là hợp lý nếu thử nghiệm đồng thời cả các sản phẩm tương tự mà ta đã có dữ liệu đáng tin cậy về độ bền đối với khí hậu nhiệt đới, điều này cho phép xác định hệ số để tính toán lại và theo đó dự báo được độ bền của sản phẩm mới khi vận hành khai thác.
- Phương pháp gia tốc cần xây dựng sao cho tái hiện gần nhất với thực tế. tuy nhiên không thể tích hợp tất cả các yêu tố môi trường bên ngoài vào 1 thiết bị thử nghiệm. do đó người ta lựa chọn những chế độ gia tốc sau:
+ Thử nghiệm theo chu kỳ
+ Thử nghiệm kết hợp (chịu tuần tự các tác động)
5. Xử lý kết quả, đưa ra đánh giá dự báo sau thử nghiệm
Đây là khâu quan trọng nhất giải quyết được bài toán dự báo khi thử nghiệm gia tốc. Dựa trên các kết quả của thử nghiệm mà ta có thể đưa ra khuyến cáo và dự báo cho các sản phẩm. Chẳng hạn, nhà sản xuất cải tiến một sản phẩm sơn cũ bằng cách thêm phụ gia hay chất độn và muốn biết độ bền của sản phẩm sơn mới này với điều kiện môi trường nhiệt đới. Đối với sản phẩm sơn cũ, chúng ta đã có dữ liệu tin cậy về độ bền. Như vậy, thông qua kết quả thử nghiệm sản phẩm sơn mới, so sánh với sản phẩm cũ, chúng ta có thể đưa ra nhận xét đánh giá và khuyến cáo cho nhà sản xuất rằng, sản phẩm sơn mới là tốt hơn hoặc kém hơn sản phẩm sơn cũ.
Việc dự báo tuổi thọ cho sản phẩm ở môi trường nhiệt đới thông qua thử nghiệm gia tốc là một công việc vô cùng khó khăn. Vì sản phẩm khi hoạt động thực tế ngoài môi trường sẽ chịu tác động đồng thời của nhiều tác nhân trong khi đó các thiết bị máy móc thử nghiệm mô phỏng trong phòng thí nghiệm không thể tạo ra đúng môi trường như vậy mà chỉ có thể mô phỏng một hoặc vài tác nhân cùng một lúc. Do đó để đánh giá chính xác tuổi thọ sản phẩm ngoài thực tế dựa trên kết quả thử nghiệm gia tốc trong phòng thí nghiệm là không thể. Tuy nhiên chúng ta có thể đưa ra những dự đoán có độ tin cậy nhất định. Đối với từng vật liệu cụ thể sẽ có những phương pháp đánh giá tuổi thọ của sản phẩm bằng phép ngoại suy thông qua kết quả thử nghiệm gia tốc. Các phương pháp này được trình bày trong ở các tiêu chuẩn về thử nghiệm gia tốc như GOST, ISO, ASTM, JIS v.v…Cần căn cứ vào đó để có đánh giá cụ thể.
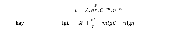
Chẳng hạn, theo tiêu chuẩn GOST R 51372-99 “Các phương pháp thử nghiệm gia tốc xác định tuổi thọ và tính toàn vẹn của các sản phẩm kỹ thuật, vật liệu và hệ vật liệu dưới tác động của môi trường ăn mòn và các môi trường đặc biệt khác”, thì tuổi thọ của sản phẩm phụ thuộc vào các các yếu tố tác động bên ngoài chủ yếu là: nhiệt độ, độ ẩm và nồng độ tác nhân ăn mòn theo công thức sau:

Trong đó A, A’, B, B’, m, n – các hệ số không đổi, được xác định bằng thực nghiệm theo phương pháp quy định trong tiêu chuẩn GOST R 51372-99;
T – nhiệt độ Kelvin;
η – độ ẩm tương đối, %;
C – nồng độ tác nhân ăn mòn, g/m3 hay %.
Cần nhắc lại rằng đối với mỗi loại vật liệu, sơn phủ hay hệ vật liệu có thể có hơn một biểu thức xác định tuổi thọ theo các yếu tố tác động bên ngoài chủ yếu, trong đó, mỗi biểu thức được xác định bởi tiêu chuẩn lựa chọn, mức độ các yếu tố đó, hay các dạng và mức độ của các tác động thử nghiệm khác.
Như vậy, khi xác định được các hệ số, ta có thể tính được tuổi thọ của vật liệu theo công thức trên.
Nếu một sản phẩm mà chế độ hỏng hóc chỉ gây ra bởi yếu tố nhiệt độ, thì chúng ta có thể sử dụng mô hình dự đoán bằng phương pháp động học để đánh giá tuổi thọ của sản phẩm đó. Bản chất của phương pháp là dựa vào phương trình động học Arrhenius về tốc độ phản ứng hóa học để xác định chỉ số gia tốc, qua đó xác định tuổi thọ của sản phẩm.
Chỉ số gia tốc được định nghĩa bằng phương trình toán học = L/L’ , trong đó L và L’ lần lượt là tuổi thọ của sản phẩm trong điều kiện thường và điều kiện có gia tốc. Thông thường A lớn hơn 1 rất nhiều lần.
Từ phương trình Arrhenius ta biết được tốc độ phản ứng ở hai nhiệt độ T và T’ lần lượt là:

Trong đó:
B – hằng số đặc trưng cho cơ chế hỏng hóc của sản phẩm và điều kiện thử nghiệm;
Ea – năng lượng kích hoạt theo electron-volts (eV) của chế độ hỏng hóc;
T, T’ – nhiệt độ tuyệt đối (tính theo Kelvin);
k – hằng số Boltzmann (8,6173 x 10-5 eV/K).
Tốc độ phản ứng được giả sử tỷ lệ nghịch với thời gian xuất hiện hỏng hóc, do đó ta có:

Từ đây dễ dàng tính được tuổi thọ ngoài thực tế của sản phẩm L = A.L’
Chúng ta cũng có thể sử dụng phương pháp dự báo dựa vào phương trình thực nghiệm. Ví dụ như, theo tiêu chuẩn GOST RV 9.513 “Trang bị kỹ thuật quân sự. Phương pháp dự báo thời hạn bảo vệ của các vật liệu bôi trơn”, thì sau khi thử nghiệm gia tốc qua 5 phương pháp: phương pháp nhiệt ẩm nâng cao (Q1), phương pháp thử trong môi trường khí SO2 (Q2), phương pháp thử mù muối (Q3), phương pháp ngâm trong nước biển nhân tạo (Q4), phương pháp thử đánh giá khả năng đẩy HBr khỏi bề mặt tấm kim loại (Q5), ta có tính được chỉ số bảo vệ tổng hợp của sản phẩm theo phương trình thực nghiệm sau:
Qt = 0.28Q1 + 6.67Q2 + 4Q3 + 0.97Q4 + (10 – 0.1Q5)
Trong đó:
Q1 – số chu kỳ thử nghiệm nhiệt ẩm;
Q2 – số chu kỳ thử nghiệm có SO2;
Q3 – số chu kỳ thử nghiệm mù muối;
Q4 – số chu kỳ thử nghiệm trong nước biển nhân tạo;
Q5 – % diện tích bị ăn mòn khi thử nghiệm với HBr.
Và thời hạn bảo vệ được tính theo công thức:

Bài viết khác